A S T R O B I O G R A F I A S

Niels Bohr
(07 de Octubre de 1885, Copenhague, Dinamarca - 18 de noviembre de 1962, Copenhague, Dinamarca)

Por: Bronny J.S. Ferrer
Asociación Larense de Astronomía – ALDA.
Niels Henrik David Bohr Nació en Copenhague, el 07 de Octubre de 1885. Hijo de Christian Bohr, un devoto luterano y catedrático de fisiología en la universidad de la ciudad, y Ellen Adler, miembro de una adinerada familia judía de gran importancia en la banca danesa y en los «Círculos del Parlamento».
Tras doctorarse en la Universidad de Copenhague en 1911, e intentar la ampliación de estudios en el Cavendish Laboratory de Cambridge con el famoso químico Sir Joseph John Thomson, descubridor del electrón (el tema de la tesis doctoral de Bohr) y ganador del Premio Nobel en 1922, quien no mostró un gran interés en el joven Bohr, completó sus estudios en Mánchester, teniendo como maestro a Ernest Rutherford, con el que estableció una duradera relación científica y amistosa.
Su hermano menor, Harald Bohr, fue igualmente un reconocido matemático, además de futbolista olímpico, y los dos hermanos jugaron juntos en el Akademisk Boldklub, en el que Niels Bohr fue portero. Precisamente al estudio de los electrones estaba dedicada la tesis doctoral que acababa de leer el joven Bohr en Copenhague, y que había llevado a territorio británico con la esperanza de verla traducida al inglés.
Pero Thomson no se mostraba entusiasmado por el trabajo de Bohr, por lo que decidió abandonar el Cavendish Laboratory y marcharse a la Universidad de Manchester, donde aprovechó las enseñanzas de otro premio Nobel, Ernest Rutherford, para ampliar sus conocimientos sobre la radiactividad y los modelos del átomo. A partir de entonces, entre ambos científicos se estableció una estrecha colaboración que, sostenida por firmes lazos de amistad, habría de ser tan duradera como fecunda.

El genio en plena juventud, cuando contaba con solo 20 años.
Rutherford había elaborado una teoría del átomo que era totalmente válida en un plano especulativo, pero que no podía sostenerse dentro de las leyes de la Física clásica. Bohr, en un alarde de audacia que resultaba impredecible en su carácter tímido y retraído, se atrevió a soslayar estos problemas que obstaculizaban los progresos de Rutherford con una solución tan sencilla como arriesgada: afirmó, simplemente, que los movimientos que se daban dentro del átomo están gobernados por unas leyes ajenas a las de la física tradicional.
En 1913, Niels Bohr alcanzó celebridad mundial dentro del ámbito de la Física al publicar una serie de ensayos en los que revelaba su particular modelo de la estructura del átomo.
Tres años después, el científico danés regresó a su ciudad natal para ocupar una plaza de profesor de Física Teórica en su antigua alma mater; y, en 1920, merced al prestigio internacional que había ido adquiriendo por sus estudios y publicaciones, consiguió las subvenciones necesarias para la fundación del Instituto Nórdico de Física Teórica (más tarde denominado Instituto Niels Bohr), cuya dirección asumió desde 1921 hasta la fecha de su muerte (1962).
En muy poco tiempo, este Instituto se erigió, junto a las universidades alemanas de Munich y Göttingen, en uno de los tres vértices del triángulo europeo donde se estaban desarrollando las principales investigaciones sobre la Física del átomo. En 1922, año en el que Bohr se consagró definitivamente como científico de renombre universal con la obtención del Premio Nobel, nació su hijo Aage Bohr, que siguió los pasos de su padre y colaboró con él en varias investigaciones. Doctorado también en Física, fue, al igual que su padre, profesor universitario de dicha materia y director del Instituto Nórdico de Física Teórica, y recibió el Premio Nobel en 1975.

Ernest Rutherford, otro premio Nobel, que junto con J.J.Thomson, se convirtieron en los maestros del joven Bohr y lo impulsaron a desarrollar todo su potencial y más importante, le enseñaron a pensar.
Inmerso en sus investigaciones sobre el átomo y la Mecánica Cuántica, Niels Bohr enunció, en 1923, el Principio de la Correspondencia, al que añadió, en 1928, el Principio de la Complementariedad. A raíz de esta última aportación se fue constituyendo en torno a su figura la denominada «Escuela de Copenhague de la Mecánica Cuántica», cuyas teorías fueron rebatidas ferozmente por Albert Einstein. A pesar de estas diferencias, el padre de la teoría de la relatividad reconoció en el físico danés a «uno de los más grandes investigadores científicos de nuestro tiempo».
En la década de los años treinta, Niels Bohr pasó largas temporadas en los Estados Unidos, adonde llevó las primeras noticias sobre la fisión nuclear, descubierta en Berlín en 1938 por Otto Hahn y Fritz Strassmann, que habrían de dar lugar a los trabajos de fabricación de armas nucleares de destrucción masiva. Durante cinco meses, trabajó con John A. Wheeler (quien acuño el termino Agujero Negro), en el Institute for Advanced Study (Instituto de Estudios Avanzados, de la Universidad de Princeton, Nueva Jersey), y anunció, junto con su colaborador, que el Plutonio, al igual que el Uranio, habría de ser fisionable.
Bohr y su exilio obligado.
Uno de los más famosos estudiantes de Bohr fue Werner Heisenberg (creador del Principio de Incertidumbre) que se convirtió en líder del proyecto alemán de la bomba atómica. Al comenzar la ocupación nazi de Dinamarca, Bohr, que había sido bautizado en la Iglesia Cristiana, permaneció allí a pesar de que su madre era judía. En 1941 Bohr recibió la visita de Heisenberg en Copenhague, sin embargo no llegó a comprender su postura; Heisenberg y la mayoría de los físicos alemanes estaban a favor de impedir la producción de la bomba atómica para usos militares, aunque deseaban investigar las posibilidades de la tecnología nuclear.
La obra Copenhague, escrita por Michael Frayn y representada durante un tiempo en Broadway, versaba sobre lo que pudo ocurrir en el encuentro que mantuvieron Bohr y Heisenberg en 1941. En 2002 apareció la versión cinematográfica del libro, dirigida por Howard Davies.
En 1939, de regreso a Dinamarca, fue elegido presidente de la Real Academia Danesa de Ciencias. Volvió a instalarse en Copenhague, en donde continuó investigando e impartiendo clases hasta que, en 1943, a raíz de la ocupación alemana, tuvo que abandonar el país debido a sus orígenes judíos. Su vida y la de los suyos llegaron a estar tan amenazadas que se vio forzado a embarcar a su familia en un pequeño bote de pesca y poner rumbo a Suecia.
Pocos días después, Bohr se refugió en Estados Unidos y, bajo el pseudónimo de Nicholas Baker, empezó a colaborar activamente en el denominado "Proyecto Manhattan", desarrollado en el laboratorio de Los Álamos, en Nuevo México, cuyo resultado fue la fabricación de la primera bomba atómica.
Al término de la II Guerra Mundial, en 1945, regresó a Dinamarca y volvió a ponerse al frente del Instituto Nórdico de Física Teórica. A partir de entonces, consciente de las aplicaciones devastadoras que podían tener sus investigaciones, se dedicó a convencer a sus colegas de la necesidad de usar los hallazgos de la Física nuclear con fines útiles y benéficos.
Pionero en la organización de simposios y conferencias internacionales sobre el uso pacífico de la energía atómica, en 1951 publicó y divulgó por todo el mundo un manifiesto firmado por más de un centenar de científicos eminentes, en el que se afirmaba que los poderes públicos debían garantizar el empleo de la energía atómica para fines pacíficos.
En 1952, Bohr ayudó a crear el Centro Europeo para la Investigación Nuclear (CERN) en Ginebra, Suiza. Por todo ello, en 1957, recibió el premio Átomos para la Paz, convocado por la Fundación Ford, en Ginebra para favorecer las investigaciones científicas encaminadas a la mejora de la Humanidad. Pronunció las Conferencias Gifford, en los cursos 1948-1950, sobre el tema Causality and Complementarity.
El Principio de Correspondencia.
El principio de correspondencia fue primeramente postulado por Niels Bohr en 1923. Las leyes de la mecánica cuántica son altamente exitosas en describir objetos microscópicos tales como átomos y partículas elementales. Por otra parte, se sabe por experimentos que una variedad de sistemas macroscópicos (sólidos rígidos, condensadores eléctricos, etc.) pueden ser descritos con exactitud por teorías clásicas tales como la mecánica clásica y el electromagnetismo. Por el contrario, es razonable creer que las máximas leyes de la Física deben de ser independientes del tamaño del objeto físico descrito. Esta fue la motivación para la creación del principio de correspondencia de Bohr, el cual establece que la física clásica debe de emerger como una aproximación a la física cuántica a medida que los sistemas aumentan de tamaño.
Las condiciones por las cuales la física cuántica y la física clásica concuerdan es lo que se denomina el principio de correspondencia, o el límite clásico. La prescripción que Bohr suministró para el límite clásico fue áspera: ocurre cuando los números cuánticos que describen el sistema son grandes, lo que quiere decir que algunos números cuánticos están excitados a valores muy altos o que el sistema es descrito por un conjunto grande de números cuánticos, o ambas cosas.
El principio de correspondencia es la única herramienta que los físicos poseen para seleccionar teorías cuánticas correspondientes a la relatividad. Los principios de la mecánica cuántica son completamente abiertos, por ejemplo, establecen que los estados de un sistema físico ocupan un espacio de Hilbert, pero no aclaran qué tipo de espacio de Hilbert. El principio de correspondencia limita las opciones a las que reproducen la mecánica clásica en el límite de correspondencia. Por esta razón, Bohr ha afirmado que la física clásica no emerge de la física cuántica del mismo modo en que la mecánica clásica emerge de la aproximación de la relatividad especial a velocidades pequeñas, sino que la física clásica existe independientemente de la teoría cuántica y no se puede derivar de ella.
El Modelo Atómico de Bohr: 100 años después.
En julio de 1913, Niels Bohr, discípulo de Rutherford, da un paso gigantesco hacia la comprensión de la estructura atómica, mediante el anuncio de una teoría conocida como la “Teoría de Bohr sobre el Átomo de Hidrógeno”. Bohr describió el átomo fundamental del hidrógeno como un electrón moviéndose en orbitas circulares alrededor de un protón, representando este último al núcleo del átomo, el que Bohr ubica en su parte central y dando una explicación robusta respecto de la estabilidad de la órbita del electrón y del átomo en su conjunto. Se trata entonces de la figura de la estructura del átomo más conocida y aún en nuestros días más difundida, estando fuertemente presente en el imaginario colectivo del siglo XX y de lo que va del siglo XXI.
Bohr estaba convencido de que las teorías clásicas de la física eran incapaces de representar adecuadamente los movimientos orbitales de los electrones: ¿Por qué los electrones, que se encuentran en movimiento, no pierden energía, lo que provocaría que tales partículas cayeran entonces en trayectorias espirales sobre el núcleo? Muchos físicos de la época habían dado las explicaciones más fantásticas respecto de esta estabilidad del electrón y la relación de las fuerzas entre los electrones y el núcleo del átomo.
“Lo que es tan maravillosamente atractivo de Bohr como científico es su rara mezcla de audacia y precaución. Pocas veces ha habido un investigador que tuviera una intuición tan profunda de los problemas ocultos combinada con un sentido crítico tan desarrollado. Su conocimiento de cada detalle no lo distrae del principio básico subyacente. Es sin lugar a duda uno de los más grandes descubridores científicos de nuestra época.”
Albert Einstein, Físico Teórico Alemán, creador de la
Teoría General de la Relatividad, considerado
el más grande físico de todos los tiempos.
A objeto de dar una respuesta más elaborada a esta problemática, Bohr de una manera magistral, combinó lo que hasta ese momento era conocido respecto a la noción del núcleo atómico de Rutherford con la revolucionaria teoría de los Quanta, o paquetes de energía de Planck, con la cual este último científico explicaba la naturaleza de la luz. Supuso que todos los electrones giraban en torno a su núcleo en ciertas orbitas llamadas estados estacionarios, en las cuales estas partículas y su movimiento son perfectamente estables, donde cada una de estas orbitas representa un nivel definido, pero diferente de energía.
Sólo cuando un electrón salta de una órbita externa (un estado de energía superior) a una órbita inferior o interna, debe irradiar energía en cantidades discretas (quantos) y características de un átomo en particular.
Al poner en práctica estas ideas revolucionarias, Bohr aplica su teoría física y matemática mediante un sencillo modelo del átomo de hidrógeno, donde uno de los postulados fundamentales es que la estabilidad de la órbita del electrón se logra, en primer lugar, por el hecho de que la fuerza que impulsa al electrón a salir de su órbita (fuerza centrífuga debida al movimiento) es exactamente igual a la fuerza eléctrica de atracción entre el electrón y el núcleo del átomo, representado por un protón (esto debido a la naturaleza de las cargas eléctricas de ambas partículas).
Con esta teoría Bohr pudo, no solo determinar las energías de los electrones en sus órbitas, sino además explicar ampliamente las series espectrales visibles del hidrógeno, con una precisión asombrosa. Además, pudo predecir la emisión de energía de los átomos del hidrógeno, hasta ese momento no observadas, tanto en la región ultravioleta como en la región infrarroja del espectro. Una autentica osadía.

Niels Bohr ideó un modelo atómico que explica perfectamente los espectros determinados experimentalmente para átomos hidrogenoides. Estos son sistemas formados solamente por dos cargas, una positiva y una negativa, y ejemplos de ellos son el átomo de hidrogeno, H, los iones He+, Li+2, Be+3,...
Tomando como base, el conocimiento que se tenía, hasta entonces, sobre espectros electromagnéticos, la teoría cuántica y el efecto fotoeléctrico, elaboró un conjunto de postulados que explican el comportamiento de los electrones dentro de un átomo, dando origen a un nuevo modelo atómico que podía explicar, entre otras cosas, por qué los electrones no se proyectaban hacia el núcleo, por qué el átomo de hidrógeno solo emite o absorbe ciertas ondas electromagnéticas, por qué se presenta el efecto fotoeléctrico, a qué se debe la estabilidad de los átomos, así también explicaba algunas propiedades físicas de los átomos como el tamaño, energía de ionización,etc.
Los postulados de Bohr se pueden enunciar en la forma siguiente:
1. Los electrones se mueven alrededor del núcleo en órbitas circulares estables.
Con este postulado, se concibe al átomo como un sistema planetario, donde el núcleo y los electrones, hacen las veces del Sol y los planetas respectivamente; de ello, se deduce que mientras más grande sea la órbita, mayor es la energía que posee el electrón.
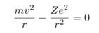
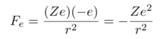
Un electrón que gira alrededor de un núcleo en una órbita de radio r y con velocidad v se encuentra sujeto a la fuerza de atracción electrostática que el núcleo de carga +Ze ejerce sobre el:
![]()
y a la fuerza centrıfuga:
![]()
A fin de que la órbita sea estable estas fuerzas deben compensarse, y cumplirse que:
![]()
En la ecuación anterior hay dos incógnitas, r y v, por lo que para conocerlas es necesario encontrar otra relación entre ellas. Esta se obtiene del segundo postulado de Bohr, el cual impone una condición sobre el momento angular del electrón.

Esta situación presenta un inconveniente, de acuerdo a la física clásica, si los electrones se movieran en órbitas circulares, se acelerarían irradiando constantemente energía (perderían energía), describiendo una espiral hasta colapsar finalmente con el núcleo; en otras palabras, el momento angular del electrón sería cada vez más pequeño. Sin embargo, para que esto no suceda, y como condición para mantener la energía del electrón, Bohr estableció el postulado siguiente:
2. Sólo son permitidas aquellas órbitas en las cuales el momento angular del electrón es un múltiplo entero de h/2π, donde h es la constante de Planck; así, se tendría que m.v.r = n.h/2π, donde n es un número entero, que indica la órbita o nivel energético en el que se encuentra el electrón.
Esto implicaría que un electrón, en una órbita, n, tendría un momento angular constante; es decir, su energía sería constante, por lo cual no existiría pérdida de energía; además, también implicaría que el momento angular estaría cuantizado, ya que los valores de n, solo pueden ser números enteros (sería incorrecto suponer que existe la órbita 1.5); así, considerando lo anterior, Bohr propone el postulado siguiente:
3. Cuando un electrón pasa de una órbita a otra, dicha transición va acompañada de la absorción o emisión de una cantidad definida de energía (en forma de onda electromagnética), cuya magnitud es igual a la diferencia de energía entre las dos órbitas.
Teniendo en cuenta lo anterior, si en un átomo estable, un electrón se encuentra inicialmente en la primera órbita, puede saltar a la segunda órbita; sin embargo para que ello suceda, necesita ganar energía y esto lo hace absorbiendo una onda electromagnética que lleve asociada la cantidad de energía correspondiente a la diferencia de energía entre las dos órbitas.

Cuando el electrón salta a una órbita superior, como en el caso anterior, deja un espacio vacío que hace inestable al átomo, para recuperar la estabilidad, el electrón debe regresar a la primera órbita liberando la energía que absorbió y lo hace emitiendo una onda electromagnética igual a la que absorbió.

De este modo, la teoría de Bohr explica el origen del espectro de líneas, ya que un electrón solo puede absorber o emitir las ondas electromagnéticas que llevan asociadas las energías necesarias para realizar los saltos de una órbita a otra; además, dicha teoría también permite explicar el efecto fotoeléctrico, la energía de ionización y la constante de Rydberg para el átomo de hidrógeno.
¿En que se basó Bohr para su Modelo Atómico?
Kirchhoff descubrió en aquella época que todos los elementos al ser calentados hasta la incandescencia emiten una serie de líneas de colores que les son características, a lo cual llamó espectro de un elemento. Después postuló la ley que lleva su nombre; ésta dice que un gas absorbe luz de la misma frecuencia de onda que emite al estar incandescente.
Y parece muy lógico, pues al recibir una gran cantidad de energía, en este caso calor, el átomo tiende a emitirla. En la naturaleza, cuando la energía contenida no es mucha, se traspasa a los átomos que están rodeándolo, pero cuando existe mucha, el proceso de transmisión por contacto o inducción resultan lentos; entonces, el átomo se ve en la necesidad de transmitirlo por radiación, y que más va a emitir, sino lo que él recibe.
Posteriormente, plantea el problema del cuerpo negro, este cuerpo absorbería toda la luz en sus diferentes frecuencias. Al invertir el proceso se emitiría luz en todas sus frecuencias, pero casi toda la energía se gastaría en emitir la luz ultravioleta, de manera que no alcanzaría para producir luz en otras frecuencias; esto es conocido como la catástrofe ultravioleta.
Fue hasta que Planck llegó que se pudo explicar este fenómeno, consiguiéndolo al introducir el concepto de los cuantos de energía. Y para armonizar con las leyes ya establecidas, Planck supuso que la energía de cada uno de estos paquetes (E0) es proporcional a la frecuencia (v): E0=hv donde h es la constante de Planck.
En el año 1905, Einstein dió a conocer sus ideas sobre el efecto fotoeléctrico; para lo cual era imprescindible incluir la naturaleza corpuscular de la luz, llamando a esta partícula fotón. Y no se quedó allí, sino que propuso la cuantización del impulso de esta partícula con la fórmula: p= hv)/c.

Bohr poseía la intuición para abordar los temas más complejos derivados de la naciente teoría cuántica, que parece no ser parte de la realidad. Sin embargo, la mecánica cuántica, tiene la virtud de que, a pesar que no debería funcionar, en realidad, si funciona!
Contemporáneos suyos eran también J. J. Thomson y Ernest Rutherford, los cuales habían descubierto el electrón y el protón respectivamente, creando un esquema del átomo en el que se tenía un núcleo con carga positiva y partículas negativas que giraban alrededor del núcleo de una manera que asemeja a los planetas. Pero sus modelos no tomaban en cuenta las leyes de la mecánica y electrodinámica clásicas, ya que de ser así los electrones viajarían en espiral hasta llegar al núcleo, y la materia sería inestable, al grado que no estaríamos aquí desde hace mucho tiempo.
Eugenio Ley Koo habla de que es Bohr quien siguiendo las ideas de Planck y Einstein decide implementar la teoría cuántica a la estructura del átomo. Además, explica cómo se emite o absorbe energía, lo cual es considerado en el Postulado de Estados Estacionarios, donde se dice:
“Los átomos existen en estos estados con energías bien definidas, y que la emisión o absorción de radiación están asociadas con transiciones entre dos de esos estados estacionarios”.
Esta diferencia de energía se calcula con la siguiente fórmula: En-Em=hvnm, que podemos observar es derivada de la fórmula utilizada por Planck. La segunda suposición que hace Bohr se obtiene del despeje de la fórmula, y dice que se puede calcular la frecuencia de la radiación emitida o absorbida si se divide la diferencia de energía de los estados estacionarios involucrados entre la constante de Planck.
Esta idea de los estados estacionarios parece muy interesante, ya que el átomo se quedaría sin energía si la emitiera constantemente. Así mismo, explica porque los átomos no absorben toda la energía que reciben; es por esto que ciertas energías no son absorbidas por el átomo, dado que no son lo suficientemente grandes como para que el electrón cambie de estado.
Esta estructura al no seguir las leyes estipuladas en la física clásica, fue criticada fuertemente; Thomson, con quien trabajó, no estuvo de acuerdo con la idea, pero al acudir con Rutherford fue aceptada.
Viendo Bohr que las diferencias entre la física clásica y la naciente mecánica cuántica eran extremas, enunció el Principio de Correspondencia; el cual nos dice que las máximas leyes de la física deben de ser independientes del tamaño del objeto físico descrito, de manera que la física clásica debe de considerarse como una aproximación de la física cuántica conforme los sistemas vayan aumentando de tamaño. Éste es uno de los postulados que parece tiene más valor lógico, pues aún en la física clásica hay factores que se desprecian por la poca interferencia que ofrecen.
“En el estudio de muchos fenómenos con objetos a la escala del hombre o mayores, aparenta ser cero. En tal caso la energía no viene en cuantos, sino que parece ser continua, como en la mecánica de Newton.” Así mismo dice: “En la vida diaria, cuando los cuerpos se mueven a velocidades muy pequeñas respecto a la luz y tienen masas muy grandes, los efectos relativistas y cuánticos no pueden observarse”.
Por eso, los efectos de la física cuántica no son apreciables en la física clásica, pero esto no implica que no existan estos efectos. Creo que aquí radica el origen de las inquietudes que tenía Einstein respecto a la Física Cuántica; pues no encontraba el factor que uniera todas las realidades de la Física Cuántica con las realidades que él siempre observó.
Posteriormente se modificó el modelo atómico con la ayuda de Sommerfield, quien incluyó orbitas elípticas por parte de los electrones. Después de haber hecho estudios acerca del helio, se postuló el Principio de la Existencia y Permanencia de los Números Cuánticos, reconociendo que las energías asociadas a los estados correspondientes del Helio difieren del Hidrógeno debido a la presencia de otros electrones. Esto por lógica nos lleva a que sucede lo mismo en los átomos con número atómico mayor.
Bohr no sólo estableció el modelo atómico, sino que también explicó las radiaciones que originaban el espectro, en especial de los hidrogenoides, como es el caso de los átomos exóticos con los cuales se estudian las relaciones electromagnéticas y para obtener información acerca de la distribución de cargas en los núcleos.
A estos átomos se les cambia alguna de sus partículas, ya sea un electrón o un protón, por otra partícula de la misma carga, como pueden ser los muones, piones, etc. Los átomos de Rydberg son átomos con estados excitados con números cuánticos muy grandes, así que sus radios son mayores y la ligadura del electrón con el núcleo es muy débil.
Se le presentaron algunos problemas con los átomos que tenían más electrones, pues las radicaciones presentan algunos fenómenos no apreciables en el hidrógeno, pero se pudo percatar de ciertas semejanzas en los elementos pertenecientes a las mismas familias, diferenciándolos en el efecto Zeeman anómalo y el efecto Zeeman normal.
La ciencia no paró en este lugar, sino que continuó explorando el átomo hasta su mismo centro, es decir, el núcleo. En un principio sólo se conocía el protón, y Bohr hizo todos sus trabajos sólo tomando en cuenta esta partícula, pero con posterioridad se descubrió el neutrón el cual simplificaba muchos problemas y explicaba muchas cosas. Bohr y otros científicos se daban cuenta de la gran energía que se podía contener en los átomos, por lo cual, comenzaron a experimentar con los núcleos.
En un principio se lanzaban partículas alfa, formando nuevos iones, pero posteriormente con el descubrimiento del neutrón se comenzó a lanzar éste, hallando que algunos átomos pesados se dividían en dos elementos distintos y no contiguos en la tabla periódica.
Con las pruebas se dieron cuenta de que ciertos núcleos no requerían que el neutrón contuviera un gran nivel de energía, mientras que otros sí. A los neutrones que tenían niveles altos de energía cinética se les llamo rápidos; a los que no, lentos.
La diferencia de energía requerida para fisionar un núcleo se debe a que si los neutrones y protones se encuentran en número par, el núcleo necesita menos energía para desestabilizarse; como es el caso del 92U236, el cual proviene del isótopo 235, pero al agregarle un número de neutrones se vuelve par. El efecto es contrario cuando el isótopo es par y non, como en el caso del 92U239, entre otros. También los niveles de energía liberados dependen del tamaño del átomo fisionado.

El Congreso de Solvay, en 1927. Niels Bohr se encuentra situado en la segunda fila, sentado, el primero por la derecha. Es posiblemente (a mi juicio) la reunión más grande en toda la historia de la ciencia. En ella, se encontraban los más grandes genios que la humanidad haya dado. Entre los participantes, y que muy seguramente, no habrá otra similar a esta en cuanto a importancia y peso histórico, tenemos a: Albert Einstein (al centro y sentado en la primera fila), Max Planck, August Piccard, Marie Madame Curie, Paul Ehrenfest, Hendrik Lorentz, Erwin Schrödinger, Paul Lagevin, Wolfgang Pauli, Louis de Broglie, Paul Dirac, Max Born, Werner Heisenberg y Peter Debye.
Parece confuso que los científicos en un principio quisieran fisionar el núcleo con partículas alfa; como bien se sabe, estas partículas poseen una carga positiva, y al ser lanzado al núcleo no acertaría, pues existe una repulsión electromagnética. En el proceso de fisión interviene la repulsión electromagnética y la tensión superficial, ya que la repulsión electromagnética disminuye más lentamente de lo que la tensión superficial aumenta, se divide en dos.
Todos estos descubrimientos se hicieron a la luz de la nueva física, la física cuántica. El concepto que más fue criticado, inclusive por los científicos más destacados, fue el de la concepción de la dualidad, ya no sólo de la luz, sino de la materia.
En febrero de 1927, Heisenberg postuló el Principio de Incertidumbre, el cual Bohr utilizó para llegar a la conclusión de su Principio de Complementariedad. Este principio consiste en que mientras más se ahonda en el estudio de uno de los elementos que conforman la dualidad de materia, más se reduce la percepción que se tiene del otro y, al verlo en el sentido inverso, sucede exactamente lo mismo; por lo cual, se deduce que cada una de sus naturalezas actúa en un área distinta, de manera que se complementan ambas.
Tengamos también en consideración que la física cuántica es un campo relativamente nuevo, si lo comparamos con la física clásica que ya lleva más de 2.000 años, por lo tanto, no nos sorprenda que las teorías expuestas en el aspecto cuántico parezcan erróneas o irracionales. Lo mismo se pensó de Galileo y casi lo ejecutan. Sin embargo, hay gente que no aprende del pasado y se siguen oponiendo a la inminente verdad de la física Cuántica.
La Racionalidad de Bohr.
Contraria sunt complementa fue la divisa elegida por Niels Bohr para su escudo de armas (abajo), al serle concedida por la corona danesa una alta distinción. La noción de complementariedad que había ido adquiriendo para Bohr una significación creciente, llegó a ser para él, una de las claves de la estructura del conocimiento humano y la fórmula en que venía a sintetizarse su esfuerzo intelectual en el campo de la física atómica.

Escudo de armas de Niels Bohr.
Lo que Bohr llamó Principio de Complementariedad, uno de los pilares de la Interpretación de Copenhague de la Mecánica Cuántica, puede ser considerado uno de los más grandes descubrimientos en la historia científica de la humanidad o, junto con toda la Interpretación de Copenhague, "mala filosofía y unos poco errores muy sencillos", como sostiene Popper; e incluso, tal y como asegura Bunge, "científica y filosóficamente insostenible por ser incoherente y no enteramente física".
El problema de la completitud se desglosaba en tres cuestiones alrededor de las cuales ha venido girando la discusión:
1) Las entidades teóricas básicas de la física atómica ¿son físicamente reales y por tanto, existen y tienen propiedades con independencia de los procesos experimentales de observación?
2) Si se trata de objetos reales ¿es posible comprender la estructura y evolución de los objetos atómicos, entendiendo por "comprender" la formulación de concepciones espacio-temporales que guarden alguna correspondencia con la realidad?
3) Finalmente ¿las leyes físicas por las que se rigen tales objetos, han de ser formuladas de tal modo, que se postulen relaciones causales?
Desde el punto de vista clásico, si la teoría ha de proporcionar una comprensión, o sea, hacer inteligible al mundo físico, la respuesta a las tres cuestiones tiene que ser afirmativa. La otra posición, hacia la que se inclinaron Bohr, Heisenberg, Born, Pauli y Dirac, por citar solo algunos de los creadores de la física cuántica, sostenía que la teoría cuántica es completa porque es imposible diseñar una teoría que proporcione un conocimiento más completo del dominio cuántico.
Einstein y Bohr: cara a cara con la realidad del mundo.
Para este nuevo principio cuántico, Bohr encontró además implicaciones filosóficas que le sirvieron de justificación. No obstante, el nuevo conceptualismo de la realidad de la física cuántica (Niels Bohr, Max Born y otros) no era compartido por Albert Einstein, cuyo criterio estaba más próximo al racionalismo de la mecánica clásica, sin descartar los fenómenos físicos empíricos de cualquier naturaleza. Son célebres sus frases críticas dirigidas a la entonces "advenediza" mecánica cuántica:
"Dios no juega a los dados con el Universo" (...) "a mí me gusta pensar que la Luna aún sigue ahí, aunque no la mire" (...) "esta es una espeluznante acción a distancia" (...)
Einstein era reacio a las interpretaciones física, filosófica y teológica que Bohr hacía derivar de los principios de la nueva mecánica, y a ciertos aspectos inherentes a la mecánica cuántica, que evocan o sugieren que la materia ordenada se deriva de un estado previo subyacente en el cual la materia está en permanente desorden o regida por el azar (tesis que, por otro lado, ya propuso en su momento el filósofo presocrático Demócrito, precisamente el creador del término átomo), y que a esta escala solo sigue leyes de probabilidad, lo que llevaría a pensar que todo el Universo se fundamenta en el azar desde su nivel atómico o subatómico.

Niels Bohr y Albert Einstein debatiendo la teoría cuántica en casa de Paul Ehrenfest en Leiden, en diciembre de 1925. El debate entre estos dos genios es, posiblemente, la mejor en toda la historia de la física. Sus posturas marcaron el camino que la física seguiría, posterior a su cara a cara, la cual, no se generaría por ningún otro par del mismo calibre. Solo el debate entre Roger Penrose y Stephen Hawking podría ser comparado con este. Incluso, el mismo Penrose dijo: "Después del debate entre Bohr y Einstein hace más de 70 años, el nuestro lo puedo describir así: Stephen jugaba el rol de Bohr y yo (Roger) el de Einstein, donde este último argumenta que puede existir algo como un mundo real, no necesariamente representada por una función de onda, mientras que Bohr argumentaba que la función de onda, no describe un micromundo "real" sino sólo un "conocimiento", que es necesario para hacer predicciones".
La segunda frase hace alusión al hecho de que el estado o comportamiento de la materia sea la consecuencia directa del mero hecho de observarla. Esto último dio lugar a la célebre paradoja del Gato de Schrödinger, según la cual el animal, introducido en una caja y cuya vida depende del movimiento de un quantum, estaría vivo y muerto al mismo tiempo, hasta que un observador abriera la caja, momento en el que se decide la suerte o el estado del felino.
La última, relacionada con la anterior, se refiere al fenómeno titulado "acción fantasmal a distancia", crítica que se hizo sobre la realidad del concepto del Entrelazamiento Cuántico; para argumentar su discrepancia, propuso otro experimento lógico que podría titularse los pares predeterminados de Einstein, o "un par de guantes".
A todo esto, se dice que Bohr respondía: "Deja de decirle a Dios cómo usar sus dados."
Las ideas contrapuestas de Bohr y Einstein.
Dos observadores (Bohr y Einstein) aceptan la proposición lógico-experimental de este último como analogía válida para dirimir sus diferentes criterios. Un ayudante (empaquetador) pasa a una estancia contigua, toma un par de guantes y los empaqueta por separado, uno en cada paquete, por lo que el empaquetador determina, y es el único que sabe con certeza qué guante pone en cada paquete.
Seguidamente, pasa a una segunda estancia contigua, y entrega ambos paquetes a otro ayudante, cuya tarea es enviar uno de ellos por correo al polo norte; este segundo ayudante, al igual que los observadores, también desconoce en qué paquete está cada guante, introduciendo su indeterminismo circunstancial o factor de probabilidad en el experimento. Una vez hecho esto, este ayudante o remitente, entrega el paquete que no ha enviado, a los observadores de la primera estancia.
Estos lo abren, observan y constatan que es el guante izquierdo:
Einstein exclama:
El guante que se ha enviado al polo norte es el derecho, lo sabemos instantáneamente y el guante ya era, siempre fue, el derecho, porque esto ya estaba o había sido predeterminado por el empaquetador.
Pero Bohr concluye:
El guante estaba en un estado indeterminado e indeterminable hasta que hemos abierto el paquete, porque hasta ese instante determinista, no teníamos la certeza y existía, matemáticamente, un 50 % de probabilidad de que fuera el derecho o el izquierdo; solo al abrirlo hemos tenido esa certeza, ergo, hasta entonces era "derecho e izquierdo al mismo tiempo", pues estaba en un estado de "probabilidad equivalente" establecida por el remitente, que es realmente quien ha tomado la decisión última y que ahora observamos.
En realidad, el concepto de Bohr de que "era derecho e izquierdo al mismo tiempo", significa que si debemos tener en cuenta el hecho de que sea derecho o izquierdo para algo importante (como para hacer un cálculo matemático), mientras no hayamos abierto la caja, debemos considerar al 50 % la posibilidad de que sea izquierdo y al 50 % de que sea derecho, para poder hacer el cálculo correcto, y esto es importante especialmente si nunca nos va a ser posible abrir la caja y determinar cuál era.
Extrapolación de los criterios de Bohr contra los de Einstein a la Física Cuántica.
Bohr sostuvo con Einstein un debate respecto a la validez o invalidez de las leyes de la Relatividad en el mundo subatómico de la Física Cuántica. Einstein decía que el Universo material era "local y real", donde lo local apuntaba a que nada puede superar la velocidad de la luz, mientras que lo real apunta a que las cosas existen en una sola forma definida en un tiempo y espacio determinado. Bohr por su parte apelaba a la "función de onda" de las partículas subatómicas y al estado de "superposición" que pueden presentar estas.
Por ejemplo, dos electrones podían estar en dos estados opuestos y extremadamente alejados a la vez y lo que ocurre con uno en determinado punto del Universo, es experimentado por el otro al otro extremo del Universo. Esto podía ser producto de una de dos alternativas:
a) Las partículas subatómicas en dos puntos alejados del Universo se envían información sobre sus estados a velocidades superiores a la de la luz con lo cual la superposición se explicaría por la presencia de más de un electrón que se comunican en distintos puntos del Universo (esta explicación no atentaba con que las cosas fueran reales, mas no permitía que fuesen locales, dado que existiría una velocidad de comunicación mayor que la de la luz).
La otra alternativa nos decía:
b) las partículas subatómicas pueden existir en dos o más estados a la vez. Estas se mantienen bajo la forma de probabilidades de manifestación en estados precisos, mas no se manifiestan en uno de estos hasta el momento en que son objeto de un estímulo determinado: la observación, y es solo después del acto de observación en que encontramos a la partícula en una coordenada específica de espacio y tiempo.
Aquí lo que se atenta es la realidad misma, o el hecho de que en el mundo subatómico las cosas sean reales y se presenten en un estado específico en un tiempo-espacio preciso. En resumen, la postura de Bohr y de la Física Cuántica es que en el mundo subatómico, las cosas no pueden ser reales y locales a la vez.
Fue durante el desarrollo de este debate cuando se esgrimió la frase tan célebre por parte de Einstein: "Dios no juega a los dados". De dicha frase hay registros confiables, lo cual no ocurre con un supuesto contrargumento por parte de Bohr hacia Einstein en el mismo debate, según el cual dijo: "¡Einstein, deja de decirle a Dios qué hacer con sus dados!".
Bohr en el templo de los más grandes de la historia.
Parece mentira, en sólo trece años, tres hombres lograron revolucionar el concepto de la física que se tenía en el siglo XIX. Uno establece el concepto del cuanto al resolver el problema de la catástrofe ultravioleta, el segundo introduce la idea de la dualidad de la luz y el tercero concibe un modelo atómico fuera de lo conocido por la física clásica, y permite comprender la Tabla Periódica de Elementos.
Tres científicos que hicieron importantísimas aportaciones con diferentes posiciones; Max Planck dijo:
“Para introducir novedades uno debe proceder de la manera más conservadora posible”.
Albert Einstein tuvo una actitud totalmente contraria, exponiendo en su trabajo de 1905 sobre el efecto fotoeléctrico, no sólo la dualidad de la luz, sino que postuló la cuantización del impulso del fotón; pero tras este trabajo abandonó la ciencia que había originado con sus ideas.
Sin embargo, Niels Bohr, después de haber concebido su modelo atómico, explicó la radiación originada en el espectro del hidrógeno; estableció los principios de correspondencia y de complementariedad con los cuales se da origen a la naciente física cuántica, iniciando así el descubrimiento de la estructura subatómica y las leyes que rigen a este campo.
Bohr fue galardonado en 1922 con el Premio Nobel de Física por sus trabajos sobre la estructura atómica y la radiación, y en 1926 con la Medalla Franklin de Física. También fue el primero en recibir, en 1958, el premio Átomos para la Paz. El cráter lunar Bohr lleva este nombre en su memoria. De forma análoga, el elemento químico bohrio se denominó así en su honor, al igual que el asteroide 3948 Bohr, descubierto por Poul Jensen el 15 de septiembre de 1985.
Fue autor de varios libros de divulgación y reflexión, entre ellos, Teoría de los espectros y constitución atómica (1922), Luz y vida (1933), Teoría atómica y descripción de la naturaleza (1934), El mecanismo de la fisión nuclear (1939) y Física atómica y conocimiento humano (1958). En 1970 la editorial Aguilar, publicó en español la recopilación Nuevos ensayos sobre física atómica y conocimiento humano 1958-1962.
Después de la guerra, y abogando por los usos pacíficos de la energía nuclear, Niels Bohr retornó a Copenhague, donde murió el 18 de diciembre de 1962.
Su legado está unido a la panoplia de genios que, junto a él, abrieron las puertas a lo que podemos llamar la génesis de la física, sin la cual, los posteriores avances no hubiesen sido posibles.
Y como terminar una biografía, marcada por los éxitos y descubrimientos de Niels Bohr? Solo a través de una sencilla, pero muy profunda anécdota de Sir Ernest Rutherford, presidente de la Sociedad Real Británica y Premio Nobel de Química en 1908, que de una u otra forma, describe la forma de pensar de Niels Bohr:
"Hace algún tiempo, recibí la llamada de un colega. Estaba a punto de poner un cero a un estudiante por la respuesta que había dado en un problema de física, pese a que éste afirmaba con rotundidad que su respuesta era absolutamente acertada. Profesores y estudiantes acordaron pedir arbitraje de alguien imparcial y fui elegido.
Leí la pregunta del examen y decía: "Demuestre cómo es posible determinar la altura de un edificio con la ayuda de un barómetro."El estudiante había respondido: “lleva el barómetro a la azotea del edificio y átale una cuerda muy larga. Descuélgalo hasta la base del edificio, marca y mide. La longitud de la cuerda es igual a la longitud del edificio”.
Realmente, había planteado un problema serio con la resolución del ejercicio, porque había respondido a la pregunta, correcta y completamente. Por otro lado, si se le concedía la máxima puntuación, podría alterar el promedio de su año de estudios, obtener una nota más alta y así certificar su alto nivel en física; pero la respuesta no confirmaba que el estudiante tuviera ese nivel.
Sugerí que se le diera al alumno otra oportunidad. Le concedí seis minutos para que me respondiera la misma pregunta, pero esta vez con la advertencia de que en la respuesta debía demostrar sus conocimientos de física. Habían pasado cinco minutos y el estudiante no había escrito nada.
Le pregunté si deseaba marcharse, pero me contestó que tenía muchas respuestas al problema. Su dificultad era elegir la mejor de todas. Me excusé por interrumpirle y le rogué que continuara. En el minuto que le quedaba escribió la siguiente respuesta: “coge el barómetro y lánzalo al suelo desde la azotea del edificio, calcula el tiempo de caída (t) con un cronómetro. Después se aplica la fórmula altura = 0,5 * g * t2 (g = aceleración de la gravedad). Y así obtenemos la altura del edificio”. En este punto le pregunté a mi colega si el estudiante se podía retirar. Le dio la nota más alta...
Tras abandonar el despacho, me reencontré con el estudiante y le pedí que me contara sus otras respuestas a la pregunta. Bueno, respondió, hay muchas maneras. Por ejemplo, coges el barómetro en un día soleado y mides la altura del barómetro y la longitud de su sombra. Si medimos a continuación la longitud de la sombra del edificio y aplicamos una simple proporción, obtendremos también la altura del edificio. Perfecto, le dije, ¿y de otra manera?
Sí, contestó, este es un procedimiento muy básico para medir un edificio, pero también sirve. En este método, coges el barómetro y te sitúas en las escaleras del edificio en la planta baja. Según subes las escaleras, vas marcando la altura del barómetro y cuentas el número de marcas hasta la azotea. Multiplicas al final la altura del barómetro por el número de marcas que has hecho y ya tienes la altura. Este es un método muy directo.
Por supuesto, si lo que quieres es un procedimiento más sofisticado, puedes atar el barómetro a una cuerda y moverlo como si fuera un péndulo.
Si calculamos que cuando el barómetro está a la altura de la azotea la gravedad es cero y si tenemos en cuenta la medida de la aceleración de la gravedad al descender el barómetro en trayectoria circular al pasar por la perpendicular del edificio, de la diferencia de estos valores, y aplicando una sencilla fórmula trigonométrica, podríamos calcular, sin duda, la altura del edificio. En este mismo estilo de sistema, atas el barómetro a una cuerda y lo descuelgas desde la azotea a la calle. Usándolo como un péndulo puedes calcular la altura midiendo su periodo de precesión.
En fin, concluyó, existen muchas otras maneras. Probablemente, la mejor sea coger el barómetro y golpear con él la puerta de la casa del conserje. Cuando abra, decirle: señor conserje, aquí tengo un bonito barómetro. Si usted me dice la altura de este edificio, se lo regalo.
En este momento de la conversación, le pregunté si no conocía la respuesta convencional al problema (la diferencia de presión marcada por un barómetro en dos lugares diferentes nos proporciona la diferencia de altura entre ambos lugares).
Evidentemente, dijo que la conocía, pero que durante sus estudios, sus profesores habían intentado enseñarle a pensar...
... El estudiante se llamaba Niels Bohr..."
Bibliografía.
Landau & Lifshitz, Teoría clásica de los campos, Ed. Reverté, ISBN 84-291-4082-4 (http://worldcat.org/isbn/84-291-4082-4).
http://rinconeducativo.org/es/recursos-educativos/david-bohr-niels-henrik
El modelo atómico de Bohr: a 100 años de una teoría revolucionaria file:///E:/Niels%20Bohr/atomo_bohr.pdf
El Modelo Atomico de Bohr file:///E:/Niels%20Bohr/bohr-hartree-2010.pdf
Rodrigo Sierra Lozada, Niels Bohr García- Colín S. Leopoldo, Mazari Marcos, Moshinsky Marcos, et.al., Niehls Bohr: Científico, Filósofo, Humanista, México: (SEP; FCE; CONACYT), 2002. (Colección La Ciencia desde México; 14). Disponible en: http://www.redalyc.org/articulo.oa?id=41630176008