Por Jesús A. Guerrero Ordáz
Asociación Larense de Astronomía, ALDA.
Barquisimeto, 7 de febrero – 4 de abril del 2001.
INTRODUCCIÓN.
Los Anales del Bambú describen una estrella huésped en la constelación del Aguila. Es el registro más antiguo que se tiene de la explosión de una nova. La misma data del año 532 AC.
Dada la prohibición que existía en Europa para reseñar los eventos del cielo, los textos que nos describen la aparición de estrellas nuevas (en latín novas) solo se consiguen en el lejano Oriente, fundamentalmente en China y Japón.
No es sino hasta bien entrado en siglo XVI (1572) cuando Tycho Brahe reporta la aparición de una estrella nueva en la constelación de Casiopea. Si bien lo observado por los antiguos astrónomos chinos y por Tycho, fueron Supernovas, para ese entonces fueron denominadas “estrellas nuevas” o novas.

Grabado que muestra a Tycho Brahe observando la “nova”.
Hoy sabemos que estas estrellas no son nuevas y aunque han mantenido la denominación, las mismas son el producto (para el caso de las novas) de intrincados procesos de intercambio de materia, en donde se encuentra involucrada una estrella enana blanca.
ORIGEN DE LAS NOVAS.
Las explosiones de las novas son el resultado de la interacción entre dos estrellas de un sistema binario con órbitas muy cercanas.

Modelo de una nova. Una estrella enana blanca extrae materia de su compañera estelar.
Las novas se producen por la acumulación de materia, generalmente hidrógeno, proveniente de una estrella normal en la superficie de una estrella enana blanca.
La gravedad y presión existente en la enana blanca comprimen y calientan el material absorbido de la otra estrella, provocando que alcance la temperatura crítica en la que se producen reacciones nucleares. Es decir, la estrella que sólo brillaba por el calor acumulado, prácticamente "muerta" (sin producir energía por fusión nuclear), renace por un período corto de tiempo.
Al producirse la expulsión de las capas superficiales de la estrella, la nova incrementa su luminosidad en un orden que va de 50 hasta 100.000 veces. Esto origina que la estrella produzca un salto en su luminosidad aparente, que va desde unas 9 hasta 13 magnitudes, en casos excepcionales.
CLASIFICACIÓN DE LAS NOVAS.
Los diferentes tipos de nova dependen de las siguientes características:
1. Componentes del sistema.
2. Distancia que las separa.
3. Masa de la enana blanca.
4. Ritmo de transferencia de materia entre la estrella donante y la enana.
Hasta ahora, las novas se encuentran clasificadas en cuatro grandes clases:
1. Na: Novas muy rápidas o rápidas. Para este tipo de novas, la caída de magnitud visual, para un lapso de 100 días, debe ser igual o mayor de 3 magnitudes.
2. Nb: Novas lentas. Para este tipo de nova, la caída de 3 magnitudes ocurre para un lapso de 200 días.
3. Nc: Novas muy lentas. Para este tipo de nova la caída de 3 magnitudes ocurre transcurridos 1.000 días.
4. Nr: Novas recurrentes. Para este tipo de novas, se presentan erupciones cada determinado tiempo. Cada erupción produce un incremento aproximado de siete magnitudes en la estrella. El período de una nova recurrente depende de las características intrínsecas de la estrella progenitora o prenova. Estos períodos son normalmente de decenas de años.
COMPORTAMIENTO TÍPICO DE LAS NOVAS.
Las novas tipo Na son las que presentan las explosiones más violentas. El cambio total de magnitud es del orden de unas 15 magnitudes. El ritmo de acreción es bajo y gran cantidad de materia se va acumulando con el transcurrir del tiempo. En la explosión, prácticamente todo el material acumulado es eyectado al espacio. Esta es una de las razones por las que la caída de brillo es rápida. Los sistemas que dan origen a una nova tipo Na están compuestos por una enana blanca y una estrella tipo Sol (enana amarilla en secuencia principal). Las estrellas se encuentran muy cercanas entre si y esto posibilita que la enana en secuencia principal, vierta su atmósfera a la enana degenerada.
En las novas tipo Nc, la amplitud es menor (7-10 magnitudes). Algunas razones de esta circunstancia son las siguientes:
1. El sistema está compuesto por una gigante roja y una enana blanca. Las gigantes rojas son más brillantes que las enanas, por lo que contribuyen con su luz durante el estado de tranquilidad, haciendo que el mínimo sea más brillante. Estas novas se conocen como NOVAS SIMBIOTICAS.

Nova simbiótica.
2. La explosión en sí es menos energética, ya que la eyección de materia es sólo parcial: parte de la materia eyectada vuelve a caer en la enana blanca y este es el motivo de que estas novas tarden tanto en bajar de brillo: les vuelve el combustible para seguir quemando durante más tiempo.
El ritmo de acreción es intermedio. Lo que diferencia a las novas simbióticas de las estrellas simbióticas tipo Z Andromedae (ZAND) es que en estas últimas no hay eyección de materia. Las erupciones se producen por inestabilidades en el disco de acreción y las estrellas se encuentran más separadas (período es de días e incluso años).
Las novas recurrentes (Nr) se encuentran clasificadas por los momentos en dos tipos (Webbink et al, 1987):
1. Las NrA tipo T Pyx o U Sco, que están relacionadas a las novas clásicas (sistemas cerrados). Se trata de una explosión termonuclear en la enana blanca. La diferencia es que aquí el ritmo de acreción es alto y la masa de la enana blanca se encuentra cerca del Límite de Chandrasekhar (1.44 masas solares). La enana blanca es más luminosa y masiva por lo que necesita poca transferencia para alcanzar la presión crítica. Por ello las erupciones están espaciadas por períodos tan cortos de tiempo. La amplitud es menor que en las novas tipo Na porque a semejante ritmo de acreción, el disco es más brillante. De igual manera la enana blanca también lo es.
2. Las NrB tipo RS Oph. Estas novas recurrentes están relacionadas con las estrellas ZAND, ya que se cree que la erupción es producto de inestabilidades en el disco, pero aquí hay eyección de material y el período orbital es mayor que el de las NrA pero menor que el de las ZAND. Este sistema está compuesto por una gigante roja y una enana blanca. La amplitud de magnitud es menor.
El comportamiento típico de la curva de luz de una nova es el siguiente:
1. En la fase inicial, la magnitud visual produce un salto entre 7 y 10 magnitudes.
2. En la segunda fase, la magnitud visual de la estrella se estabiliza o incluso desciende algo en magnitud.
3. En la tercera fase, se produce un salto de dos magnitudes adicionales, transcurridos entre 1 a 7 días, después de producida la explosión.
4. Ya en su máximo, la Nova puede caer rápida o lentamente según sea su clasificación.
5. Una circunstancia importante que hay que tomar en cuenta es la oscilación de la nova. Esta puede aparecer en cualquiera de sus tipos, tal como fue expresado por Raúl Salvo de Uruguay.
Un ejemplo clásico lo representa la Nova Persei 1901. Siendo una nova de comportamiento rápido, presentó oscilaciones 50 días después de su máximo, las cuales se prolongaron por unos 120 días. Las oscilaciones eran de una magnitud en promedio.

Oscilaciones en Nova Persei 1901.
El caso de las oscilaciones en Novas de comportamiento lento, tienen un buen ejemplo en la Nova Delphini 1967. Esta Nova estuvo en su máximo por espacio de ocho meses, en los cuales presentó cinco picos para posteriormente comenzar a descender hasta llegar a la luminosidad de su estrella progenitora (prenova), después de siete años.

Oscilaciones Nova Delphini 1967.
OTROS EJEMPLOS IMPORTANTES.
Un ejemplo importante de reseñar es el de la Nova DQ Herculis. En 1954 se descubrió que era una estrella variable a eclipse con período de 4h39m.

Caída en nova DQ Herculis 1954.
Otras novas famosas por ser variables a eclipse son: T Aurigae, RR Pictoris y V603 Aquilae.
EL ESPECTRO DE LAS NOVAS.
El espectro de las novas describe envolturas gaseosas en expansión, por lo que las líneas de absorción aparecen desplazadas hacia el violeta. Estas envolturas pueden ser fotografiadas, como fue el caso de las envolturas de la Nova Cygni 1992, las cuales fueron fotografiadas por el telescopio espacial Hubble, año y medio después de la explosión. En primer término se observa una mota de gases en expansión violenta. Siete meses después, se logra apreciar el anillo de materia circundante a la estrella.

Envolturas gaseosas en expansión. Nova Cygni 1992.
Las velocidades de estos gases en expansión pueden alcanzar entre 50 y 4.000 kilómetros por segundo.
En el espectro de las estrellas, cuando la estrella es más pequeña, sus líneas de absorción se hacen más gruesas. En la figura se aprecian los espectros de tres estrellas que van de mayor a menor. Preste atención que para la estrella Alpha Lyrae (enana blanca), las líneas de absorción para H delta y H gamma (hidrógeno) se observan sensiblemente más gruesas.

Líneas de absorción en novas.
Como las capas exteriores de la nova han sido expulsadas de la misma, al realizar un estudio espectral cuando la estrella se encuentra en su fase expansiva, se va a observar que estas líneas disminuyen su grosor. Al comienzo, como las capas se encuentran muy densas, no permiten observar el espectro real de la estrella y lo que se aprecia es el espectro de la capa superficial en expansión y las líneas en proceso de desaparición. A medida que la materia expulsada se expande, pierde densidad y comienza a detectarse el espectro real de la estrella.
LA NOVA V445 EN PUPPIS.
El pasado 22,731 UT de diciembre del año 2000, Kazuyoshi Kanatsu de Matsue, Shimane, Japón, descubrió una nova en la constelación de Puppis.
La localización del objeto de esta nova es R.A. = 07h 37m 58s; Decl. = -25º 56' 51" (2000.0) y magnitud visual era de 8m,7.
Posterior al reporte, K. Takamizawa, de Nagano, Japón, realizó un despistaje en
exposiciones de la zona y encontró la estrella en exposiciones tomadas los días
28,703 de Noviembre y 22,578 de Diciembre del año 2000, en donde la nova se
encontraba en magnitud fotográfica 8m,6 y 8m,8 respectivamente.
Existe una discrepancia sobre la magnitud de la estrella progenitora de la nova. Según el Atlas del Observatorio Naval de los EE.UU, USNO A2.0, es una estrella de 13m,43 mientras que Takamizawa ha realizado mediciones en placas fotográficas, con la estrella en su mínimo y las mismas han arrojado los valores de 14,6 – 14,8p. La posición exacta de la nova es: RA=07h 37m 56.88s; dec= -25º 56' 58.8" (2000.0) [A. Henden, UCAC1]. Según Sebastián Otero, la estrella progenitora es USNO 0600.03989187.
El día 12 de enero, la nova en Puppis recibe denominación oficial de V445 Puppis.
Las imágenes muestran la zona de la nova en Puppis (V445 Puppis) del Digital Sky Survey y una de las imágenes CCD tomadas desde el observatorio Taya Beixo IAU/MPC 306, con el telescopio Celestron 11 y la cámara ST-9E, de Víctor Ladino.

Esta nova, denominada desde un comienzo el objeto Kanatsu, no parece atenerse a ninguna de las clasificaciones antes descritas. Las razones de esta aseveración fueron resumidas por Sebastián Otero en los siguientes renglones:
1. V445 Puppis parece no haber alcanzado la amplitud necesaria para ser clasificada como una nova en toda su dimensión.
Si la estrella progenitora es la indicada (13m,43), el salto de magnitudes hasta el máximo es de apenas 4m,7 magnitudes. Si consideramos la magnitud determinada por Takamizawa (14,8p) el salto de magnitudes hasta 8,8p es de 6, muy cercano al valor mínimo.
2. V445 Puppis no presenta hidrógeno en su espectro.
En Enero 3.235 del 2001, W. Liller desde Viña del Mar, Chile obtuvo un espectro de baja resolución que muestra líneas de emisión angostas y bastante fuertes de H-Alpha y He I a 5876 A. Las líneas de Fe II, detectadas el 31,7 de diciembre del 2000, por M. Fujii, continuaban fuertes, mientras que la línea de emisión de H-beta estaba prácticamente ausente.
La circunstancia de no aparecer las líneas de hidrógeno en el espectro, hace que Sebastián Otero (LIADA-Argentina) relacione la nova con las estrellas tipo RCB (R Coronae Borealis), estrellas que en su mayoría tienen deficiencia de hidrógeno y producen sus cambios de luminosidad por un destello de helio.
P. Schmeer, nos escribe Sebastián, sugirió que la estrella podría ser una nova enana de helio como V803 Centauri o CR Bootis, pero según Taichi Kato de VSNet (Variable Star Network), Japón, estas "novas de helio" son sólo teóricas y V445 Puppis podría ser un primer ejemplo.
Para completar la controversia y dar un halo de misterio al asunto, el
Profesor Sumner Starrfield recalcó que Ron Taam y sus estudiantes
estudiaron las consecuencias de la acreción de helio en enanas blancas hace
bastante tiempo y el resultado fue que la explosión resultante en este tipo de
novas sería tan intensa que se asemejaría a una SNIa, las
supernovas más energéticas conocidas.
Sobre el comportamiento futuro de la nova, Taichi Kato puso como ejemplo a DO Aquilae, la Nova Aquila 1925. El GCVS (General Catalog Variable Star) la clasifica como Nb, con un rango es 8m,6 a 17m,8, mucho mayor que el de la actual nova. Lo que Taichi Kato sugiere es que, tal como aquella estrella, la nova V445 Puppis puede estar pasando por una fase previa al verdadero máximo, el cual podría tardar incluso meses.
COMPORTAMIENTO DE V445 PUPPIS.
Observaciones realizadas por la LIADA que involucra observadores de Argentina, Uruguay, Brasil y Venezuela, dan muestra del siguiente comportamiento:
1. Hay una primera fase caracterizada por una tendencia a permanecer constante en valores cercanos a 9m,2 y 9m,3. Esto ocurre entre los días 2,3 y 4 de enero del 2001.
2. A partir del día 7 hasta el día 10 se produce un leve ascenso en magnitud (0m,6).
3. Los días 11, 12 y 13 se produce un descenso de la magnitud (0m,5).
4. Entre los días 13 y 24, se produce un leve descenso de la nova, con algunas pequeñas oscilaciones. La estrella pierde aproximadamente una magnitud.
5. El día 25 se recupera (0m,4) y permanece casi constante hasta el 28 de enero.
6. El día 30 se producen fuertes variaciones (0m,5) en menos de 15 minutos. La nova se presenta muy activa.
7. El día 31 incrementa su brillo hasta 9m,6 ganando 0m,8 en menos de un día.
8. Los días 2,3 y 4 de febrero del 2001 se presenta una leve tendencia a la baja.
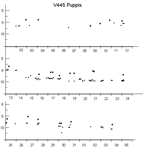
La gráfica ilustra la curva de luz aproximada de las observaciones realizadas desde Latinoamérica.

Observaciones de LIADA y miembros de ALDA.
De esta nova se realizaron más de 200 imágenes con cámara CCD y 74 estimaciones de magnitud visual.
La campaña cubrió desde el 03 de enero hasta el 03 de abril, fecha en la que la nova comenzó a decaer hasta valores cercanos a la 11m,0.
De las observaciones se concluyó que la nova pertenece al tipo Nb (Novas lentas), ya que una caída de tres (3) magnitudes ocurre en un lapso de tiempo de unos 200 días.
Participaron en esta campaña los miembros de ALDA: Jesús Guerrero (JAG); Víctor Ladino (LVI); Juan Santiago (SJM); Tito Lizardo (LTI); Mercedes Duque (DuM); Freddy Yépez (YFR); Alexis Peña hijo (PAB); Cianny Orellanes (OCI); Amaury Valenzuela (VAA); Francisco Suarez (SUF) y Gilbert Sánchez (SGI).